Calibration Particles vs Rainbow Calibration Particles
What’s the Difference in Flow Cytometry?
Flow cytometry is a cornerstone technique in life science research, enabling rapid, multi-parameter analysis of cells. However, the accuracy of your results depends heavily on one critical step that is often underestimated: instrument calibration.
To ensure reliable data, laboratories rely on calibration particles but not all calibration particles are the same.
Among them, rainbow calibration particles have emerged as a powerful tool for modern multi-color cytometry.
In this guide, we break down:
- What calibration particles are?
- What makes rainbow calibration particles unique?
- The key differences between them.
- When and why to use each?
What Are Calibration Particles in Flow Cytometry?
Calibration particles are microspheres with defined optical properties used to standardize and validate the performance of flow cytometers.
They are essential for :
- Routine instrument calibration.
- Quality control (QC) procedures.
- Long-term performance monitoring.
- Optical alignment verification.
=> As described in the reference document, these particles are widely used across laboratories to ensure consistent and reproducible cytometry results.

Why Calibration Matters?
Without proper calibration:
- Fluorescence signals may drift.
- Detector sensitivity may vary.
- Results become non-reproducible.
Calibration particles act as a stable reference, ensuring your instrument behaves consistently over time.
What Are Rainbow Calibration Particles?
Rainbow calibration particles are a specialized type of calibration particle designed for multi-color analysis.
What makes them unique is their internal structure:
=> Each particle contains multiple fluorophores embedded inside, allowing it to emit fluorescence across a wide range of wavelengths.
Key Characteristics:
- Emit signals from 365 nm to 650 nm.
- Produce multiple fluorescence intensity peaks.
- Enable simultaneous calibration of multiple channels.
How Rainbow Calibration Particles Work?
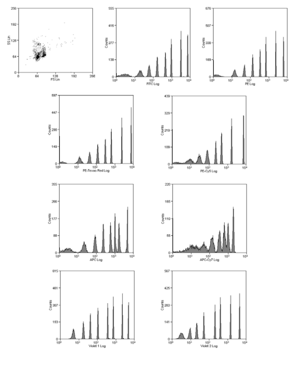
Instead of a single fluorescence signal, rainbow particles generate distinct populations of intensities.
What you see on your cytometer:
- Multiple peaks in histograms
- Each peak = a defined fluorescence level
- Consistent spacing between peaks
=> The histograms clearly show these multiple fluorescence populations across channels such as FITC, PE, and APC.

This allows researchers to:
- Evaluate detector performance
- Adjust voltage settings
- Validate signal resolution
Calibration Particles vs Rainbow Calibration Particles
| Feature | Calibration Particles | Rainbow Calibration Particles |
|---|---|---|
| Type | General category | Advanced subtype |
| Fluorescence | Single or limited | Multiple fluorophores |
| Peaks | One or few | Multiple defined peaks |
| Channels | Often specific | Multi-channel compatible |
| Use case | Basic QC & alignment | Multi-color calibration |
| Complexity | Simple | Advanced |
Why Rainbow Calibration Particles Are Essential Today?
Modern flow cytometry often involves multi-color panels (8+ markers). In this context, rainbow particles offer major advantages:
✔ Multi-Channel Calibration
One sample calibrates multiple detectors simultaneously.
✔ Detector Optimization
They help determine the optimal voltage range for PMTs, ensuring accurate signal detection
✔ Sensitivity & Resolution Testing
Additional low-intensity peaks allow :
- Detection of weak signals.
- Evaluation of instrument sensitivity.
✔ Reproducibility Across Experiments
They provide consistent reference points, critical for comparing data over time.
Calibration Curves & Instrument Linearity
Rainbow calibration particles are also used to assess instrument linearity.
What this means:
- Fluorescence intensity should increase proportionally with detector response
- Any deviation indicates calibration issues
=> The calibration graphs (page 6) demonstrate strong linear relationships between signal intensity and channel number
This ensures:
- Accurate quantification
- Reliable comparison between samples
Practical Applications
Flow Cytometry :
- Daily QC calibration
- Multi-color panel validation
- Detector sensitivity checks
Research Laboratories
- Standardization of experiments
- Long-term performance monitoring
Advanced Analysis
- Fluorophore quantification
- Cross-instrument comparison
How to Use Calibration Particles Effectively?
Step-by-Step Workflow
- Prepare dilution : Add a few drops into buffer (~1 mL).
- Run sample : Acquire data using standard cytometer settings.
- Analyze peaks : Identify fluorescence populations.
- Adjust settings : Optimize detector voltages.
- Record results : Track QC data over time.

Best Practices for Reliable Results
- Calibrate before every experiment.
- Use consistent particle types.
- Store in dark, controlled conditions.
- Monitor peak shifts regularly.
- Validate instrument linearity periodically.
Common Mistakes to Avoid
- Skipping calibration steps.
- Using degraded or improperly stored particles.
- Ignoring changes in fluorescence peak positions.
- Mixing different calibration standards.